11_复杂链表的复制
2023/11/14...大约 2 分钟
复杂链表的复制
描述
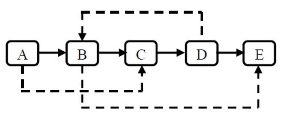
输入一个复杂链表(每个节点中有节点值,以及两个指针,一个指向下一个节点,另一个特殊指针random指向一个随机节点),请对此链表进行深拷贝,并返回拷贝后的头结点。(注意,输出结果中请不要返回参数中的节点引用,否则判题程序会直接返回空)。 下图是一个含有5个结点的复杂链表。图中实线箭头表示next指针,虚线箭头表示random指针。为简单起见,指向null的指针没有画出。

解题思路
使用Hash结构
- 把所有节点都放在Map里,k使用当前链表节点,v使用new出来的节点
- 循环Map,每个元素都找他的next和random,分别给value赋值
不使用Hash结构
- 每个节点都拷贝一个放在该节点的后面
- 再循环一次,需要拷贝random是该random的next
- 循环一次奇偶拆分链表
实现代码
使用Hash结构
import java.util.Map;
import java.util.HashMap;
public class Solution {
public RandomListNode Clone(RandomListNode pHead) {
if (pHead == null) {
return null;
}
Map<RandomListNode,RandomListNode> map = new HashMap<>();
RandomListNode next = pHead;
while (next != null) {
map.put(next,new RandomListNode(next.label));
next = next.next;
}
map.forEach((k,v) -> {
RandomListNode caypNext = map.get(k.next);
if (caypNext != null) {
v.next = caypNext;
}
RandomListNode caypRandom = map.get(k.random);
if (caypNext != null) {
v.random = caypRandom;
}
});
RandomListNode head = map.get(pHead);
return head;
}
}不使用Hash结构
public class Solution {
public RandomListNode Clone(RandomListNode pHead) {
if (pHead == null) {
return null;
}
RandomListNode next = pHead;
while (next != null) {
RandomListNode after = next.next;
RandomListNode capy = new RandomListNode(next.label);
next.next = capy;
capy.next = after;
next = after;
}
next = pHead;
while (next != null) {
RandomListNode random = next.random;
if (random != null) {
next.next.random = next.random.next;
} else {
next.next.random = null;
}
next = next.next.next;
}
RandomListNode res = pHead.next;
RandomListNode cur = pHead;
RandomListNode clone = pHead.next;
//拆分两个链表
while(cur != null){
//cur.next必定不为空
cur.next = cur.next.next;
cur = cur.next;
//检查末尾节点
if(clone.next != null)
clone.next = clone.next.next;
clone = clone.next;
}
return res;
}
}